728x90
반응형
우리 팀의 많은 아이디어를 뒤로 하고 결정된 주제는 AI 운동 자세 교정 서비스이다.
프로젝트명으로는 모션 트래킹 및 딥러닝 기술을 활용한 개인용 피트니스 자세 추적 및 교정 서비스 라고 할 수 있다.
간단하게 프로젝트를 소개하면
- 딥러닝 기반의 영상 분석으로 사용자의 운동 자세 피드백을 통한 운동 부상 위험 방지
- 규칙 기반 알고리즘을 활용한 운동 루틴 추천과 사용자의 운동 기록 확인 서비스를 통해 운동 습관 형성
주제를 이로 선정한 배경과 이유에는 아래와 같다.
- 피트니스를 이용하려는 사용자의 추세가 꾸준히 증가
- 잘못된 자세의 운동으로 인한 부상
- 비싼 값으로 사용자에게 부담이 되는 PT 비용의 절감
해당 프로젝트가 그러면 다른 서비스와 어떤 차별점이 있느냐?
- 서비스를 이용하기 위한 별도의 물리 장치가 불필요
- 하루 운동 루틴을 추천하는 것이 아닌, 일주일 기준의 운동 루틴을 추천함으로써 좋은 운동 습관을 형성
- 홈 트레이닝이 아닌 헬스 동작을 분석해주는 차별점
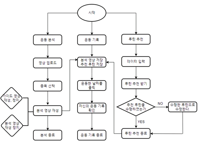
해당 프로젝트의 주요 기능
- 운동 분석 서비스
- 좌, 우로 사용자의 영상과 가이드 영상을 시각적으로 비교하면서 자신의 운동 자세에 대한 피드백 제공
- 운동 루틴 추천
- 사용자의 운동 및 신체 데이터를 입력받아 사용자 맞춤형 일주일 루틴 제공
- 운동 기록
- 과거 분석 영상, 루틴을 캘린더를 통해서 간편하게 확인 가능



서비스 구성도는 이와 같이 구성했다.
현재 프로젝트를 진행 중에 있는데, 더 추가할 사안들이 있으면 나중에 수정을 통해 첨부하겠다.
- AWS EC2
→ 서버 관리 및 서비스 배포에 사용됨
- Java-17/spring-3.1.2
→ 웹 서버 생성에 사용됨
- MySQL-8.1.0
→ 사용자 데이터 저장 등에 사용됨
-python
→ 딥러닝 학습 및 핵심 로직 실행
웹 서버를 만드는데에는 자바 스프링을 통해서 코드를 작성하였고, DB는 MySQL을 선택하였다.
또한, 딥러닝 모델은 CNN 모델을 선택해서 학습 및 로직 실행을 하였다.
이와 관련된 것들은 추후 게시글에 따로 작성하겠다.
728x90
반응형
'Project > 프로젝트_한이음' 카테고리의 다른 글
| 한이음 프로젝트 시작, 리뷰(후기) (0) | 2023.09.15 |
|---|